To understand better the policy of the Meiji government prior to the annexing of Dokdo it is necessary to study their internal documents of the late 19th century. What they reveal is contrary to what the Japanese government would like us to believe on several points. The following 1878 document is an inquiry by the Minister of Foreign Affairs Watanabe Kouki regarding ownership of Dokdo.
Meiji Government Document, Page 1.
Consideration regarding Songdo (Ulleungdo): "A number of brief documents regarding Jukdo (Dokdo) can be found from the early days while there is no record discussing Songdo (Ulleungdo). Today more and more people are talking about Songdo, and their opinions are divided over the island. Some say these two islands are one, with two different names and others say they are two separate ones."
Meiji Government Document, Page 2.
"Songdo (Ulleungdo) was given to Chosun by the Shogunate seeking convenience (comfort) at the time instead of considering our future. Therefore if this so-called "Songdo" turns out to be Jukdo (Ulleungdo) it should belong to them (Chosun) and if not it should be Japan's property. No one can give us a definite answer. The location of Songdo is considered critical because it is situated between Chosun and Japan. Nagasaki-Vladisvostok, Shimonseiki-Wonsan Port. Because of Songdo's important location English and Russian warships are repeatedly seen in this vicinity. So if it is part of Japan we should be very watchful..."
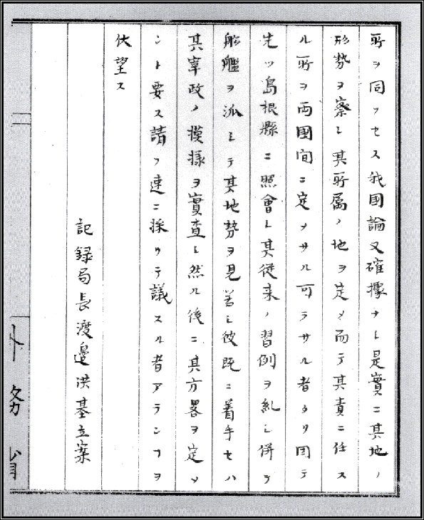
Meiji Government Document, Page 3.
"Even in the event that it belongs to Chosun we will still have to protect it. In this situation we're at a loss for answers if/when we are asked by other countries. This leaves the island ownerless. A number of records have stated that "Argonaut" which is a Western name for Jukdo (Ulleungdo) does not exist and that "Dagelet" referring to Songdo, is Jukdo aka Ulluengdo. So what we call Songdo, (Dokdo) is called Hornet Rocks by Westerners. But is seems that Westerners actually think of Jukdo when they refer to Songdo (Ulleungdo). Foreign maps show this "Hornet Rocks" under Japan's jurisdiction. Yet there is no consensus concerning the two islands among the countries."
Meiji Government Document, Page 4.
""There is no sound basis for our argument, either. Therefore the land and the vicinity should be surveyed which side it belongs to and therefore whose jurisdiction it falls under. Thus we should make an inquiry to Shimane Prefecture and confirm their previous policy on this matter and initiate a survey of the region. If Chosun had already started we need to find out how they are progressing and think what we can do about it. Please I am urging this matter be dealt with as soon as possible."

The above outdated 1867 Japanese Navy map shows how some Japanese cartographers referenced early inaccurate European maps and inaccurately added the non-existent island cited as ´Argonaut´. However, in 1854 the Russian warship Pallada surveyed the region and discovered that the islet did not exist. Again in 1859, the British warship Actaeon also reported that "Argonaut" was fictitious. The pages of the attached document (above) show that the Meiji-Era Japanese were conscious of these errors and were more concerned about determining ownership in order to acquire naval-strategic superiority in the Korea Strait."

This 1875 Map of Asia drawn by Adolf Steiler shows the accurate positioning of both Ulleungdo (Matsuhima) and Dokdo (Liancourt) on the
Right. This map shows that the fictitious island of "Argonaut" had disappeared and the region was now being precisely mapped. Note the historical references to previous names such as "Dagelet Is" and "Hornet Is". The shipping route marked in blue illustrates why these islands had become of major military and strategic importance during the Russo-Japanese War (1904-1905). Being in a major shipping lane also increased regional awareness of Ulluengdo´s rich natural resources, causing widespread illegal logging and fishing by Japanese nationals.
Analysis of the Document:
There are a few truths that can be ascertained from the above document that clarify the Meiji Government´s attitude toward Dokdo during this era.
1. Japanese scholars argue Meiji Government documents that declare Jukdo and Songdo as Chosun territory are not valid because the Meiji government was confused as to which island was which. As Watanabe Kuoki's above statements show, there were many documents already published that confirmed "Argonaut Island" did not exist. They had already verified that Songdo was Ulleungdo, originally called Jukdo (Matsushima), and that the foreign-named "Hornet Rocks" were the islands Japanese referred to as Songdo (Takeshima) Dokdo.
2. Even at this late stage of the 19th century the Japanese had not claimed Dokdo. This official letter provides the necessary evidence to show that the Japanese Foreign Ministry´s current claim that Dokdo is ´historically and inherently´ part of Japan is simply not a valid claim. Minister Watanabe Kuoki´s reference of foreign maps in an attempt to ascertain whether or not Dokdo was Japan´s territory shows that Japan had no legitimate historical claim to Dokdo, prior to, or even at this late point in history.
3. Japan´s motivation for the annexing of Dokdo can be gleaned from this official paper. This document from 1878, two whole decades before Japan sequestered Dokdo, sheds light on the reasons why the tiny Dokdo islets were of major importance to Japan. Watanabe Kuoki was only concerned with establishing a naval presence on Dokdo so the Japanese could monitor and control activity in the Korea Strait. He was particularly concerned about foreign warships. A disturbing quote in this text is the passage, "Even in the event that it belongs to the other side (Chosun) we will still have to protect it." This quote clearly illustrates some high-ranking officials of the Japanese government wished to assert military control over territories regardless of who the rightful owner may have been. Watanabe Kuoki´s attitude finally prevailed when naval conflicts flared in the region around 1904. Watanabe Kuoki´s inquiry foreshadows the eventual 1905 Japanese annexation of Dokdo. His concerns in the above document also forshadow the conflict that eventually erupted between key agencies within the Japanese Imperial Government in 1904-05. This reminds us that the Japanese decision to incorporate Dokdo in 1905 was hardly unanimous.
4. In the late 17th century the Japanese government acknowledged that Ulleungdo was part of Chosun territory. Watanabe Kuoki´s opinion at the beginning of the document shows some hard-liners in office were resentful that Japan acquiesced to Chosun assertions that Ulleungdo was theirs. This resentful attitude continued to as late as 1947 when the Japanese Foreign Ministry appealed (unsuccessfully) to American occupation officials to have Ulleungdo ceded to Japan in the San Francisco Peace Treaty.
It is worthy to note that Watanbe Kuoki was about to inquire to Shimane Prefecture to confirm their past policy on Dokdo. From there he would have been shown this recently issued document by the Dajokan (Council of State) that confirmed that both Ulleungdo and Dokdo were possessions of Chosun and the Meiji Government had nothing to do with them.